Stromgestehungskosten und Merit-Order Effekt
Der gängigste Vergleichswert bei der Stromerzeugung sind die Stromgestehungskosten (engl. Levelized Costs of Electricity – LCOE).
Stromgestehungskosten
Die Stromgestehungskosten sind eine Maßeinheit, die die
Kosten für die Errichtung und den jährlichen Betrieb einer Anlage ins
Verhältnis zur Stromerzeugungsmenge der gesamten Lebensdauer der Anlage setzt.
Neben den initial anfallenden Investitionskosten werden alle die über die Kalkulationsdauer anfallenden fixen und variablen Betriebskosten berücksichtigt. Unter Berücksichtigung der jährlichen Stromerträge, für die die Leistungsminderung (Degradation) der Anlage eingerechnet wird, sowie dem kalkulatorischen Zinssatz (gewichteter Wert aus Eigen- und Fremdkapitalzinsen) ergeben sich die Stromgestehungskosten. Einfluss auf die LCOE haben die Investitionskosten, Betriebskosten, der Standort bzw. Einstrahlung, die Finanzierung und die Laufzeit der Anlage. Die Ergebnisse der Stromgestehungskosten (StGK) werden in der Einheit Euro/kWh oder Euro/MWh ausgewiesen. So liegen die StGK für PV-Anlagen zwischen 3,12 und 11,01 Cent/kWh. Erneuerbare Energieanlagen sind damit in der Stromerzeugung mittlerweile fossilen Kraftwerken häufig überlegen. Gasturbinen und Steinkohlekraftwerke verursachten laut Berechnung des Fraunhofer Instituts für Solare Energiesysteme (vgl.: Fraunhofer ISE 2021) Kosten von 11 bis 29 Cent pro Kilowattstunde. Für PV-Freiflächenanlagen, die ab 2025 in Betrieb gehen, wurden laut Studie des Zentrums für Sonnenenergie- und Wasserstoff-Forschung Baden-Württemberg im Auftrag des BMWK (2023) Stromgestehungskosten von knapp 7,2 bis 7,6 ct/kWh ermittelt.
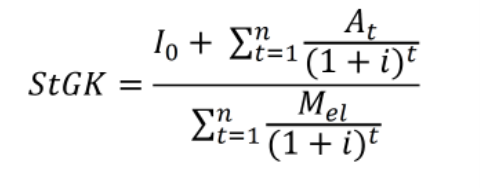
Berechnung der Stromgestehungskosten

I0 Investitionsausgaben
in Euro
At jährliche Gesamtkosten
in Euro im Jahr t
(= fixe + variable
Betriebskosten)
(+ Restwert/Entsorgung der
Anlage)
Mel produzierte Strommenge im
jeweiligen Jahr
in kWh
i realer kalkulatorischer Zinssatz
in %
n wirtschaftliche Nutzungsdauer in
Jahren
t Jahr der Nutzungsperiode (1, 2,
...n)